Dominik Wypij Data:
Ćwiczenie numer 23
Wyznaczanie cząstkowych objętości molowych składników w układzie H2O-C2H5OH
1.Wstęp teoretyczny:
*Składniki mieszaniny w mniejszym lub większym stopniu tracą swoje indywidualne właściwości. Zmianę danej wielkości ekstensywnej wywołaną zmieszaniem składników określa tzw. funkcja miaszania oznaczana jako YM. Jest to różnica między aktualną wartością
funkcji Y mieszaniny , a sumą funkcji czystych składników , z których utworzono mieszaninę.
![]()
gdzie Yi⊕ -molowa funkcja Y składnika i
*Jak wiadomo właściwości mieszaniny zmieniają się z jej składem , aby zatem scharakteryzować zależność wielkości ekstensywnej Y od zmiany wartości składu np. składu l wprowadzam pojęcie cząstkowej wielkości molowej . Możemy to zapisać :

(T , p = const i różne od l )
Z twierdzenia Eulera wynika relacja :

korzystając z definicji wielkości cząstkowych molowych , mamy :
![]()
(T,p=const.)
Ze wzoru wynika , że wielkości cząstkowe molowe określają udział poszczególnych składników we właściwościach mieszaniny. Jednak wielkości tych nie należy mylić z funkcjami molowymi czystych składników :
![]()
![]()

( T,p = const.)
Z podanych wzorów wynikają następujące wnioski :
wielkości cząstkowe molowe są wielkościami intensywnymi
nie są od siebie zależne
Najważniejszą wielkością cząstkową molową jest Potencjał Chemiczny czyli dla T,p=const
Cząstkowa molowa entalpia swobodna :

(T,p=const , i różne od j)
*Aby zdefiniować cząstkową objętość molową rozważamy w ustalonych warunkach zewnętrznych (T,p=const.) roztwór złożony z n1 moli rozpuszczalnika i n2 moli substancji rozpuszczonej. Zgodnie z teorią Eulera :

Całkowitą objętość roztworu przedstawia równanie :
![]()
gdzie : V1=cząsteczkowa molowa objętość rozpuszczalnika
V2=cząsteczkowa molowa objętość substancji rozpuszczonej
Całkowitą objętość roztworu można zmierzyć stosunkowo łatwo z bardzo dużą dokładnością ,niestety cząstkowych objętości molowych nie można bezpośrednio zmierzyć.
Aby zmierzyć cząstkową objętość molową składników możemy posłużyć się metodą pozornej objętości. Oznaczamy zatem objętość jednego mola czystego rozpuszczalnika przez V1. Jeżeli podstawimy tę wielkość do równania ![]()
otrzymamy :
![]()
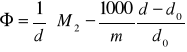
Niestety równość ta nie jest prawdziwa. Aby otrzymać poprawną wartość V czyli całkowitej objętości molowej musimy w miejsce całkowitej objętości molowej substancji rozpuszczonej podstawić tzw. objętość poznaną (Φ) ; otrzymujemy wówczas :
![]()
zatem
![]()
Różniczkując to równanie względem liczby moli substancji rozpuszczonej n2 otrzymujemy wyrażenie na cząstkową objętość molową substancji rozpuszczonej :

Wartość 
otrzymujemy graficznie ze zmierzonej zależności Φ od n2. Pozorną objętość molową substancji rozpuszczonej określa równanie :

gdzie :
d gęstość roztworu
d0 gęstość wody
M2 masa cząsteczkowa substancji rozpuszczonej
Przekształcając dalej otrzymujemy :
![]()
![]()


*Pomiaru gęstości cieczy dokonuje się w różnego rodzaju piknometrach. Nawet przy bardzo dokładnych pomiarach objętość piknometru nie powinna być większa niż 30ml , przy założeniu , że błąd maksymalny każdego ważenia jest rzędu 0,1mg. Stosowane do pomiarów piknometry muszą mieć objętość wyskalowaną za pomocą wody. Jeżeli wymagana dokładność pomiaru gęstości nie jest wyższa od 0,1% to do obliczenia gęstości możemy użyć wzoru :
![]()
gdzie W1,W0 - nieskorygowane wagi substancji badanej i cieczy kalibracyjnej
d1, d0 - gęstości
Przy wyższych dokładnościach niezbędne są poprawki na wyporność próbki w powietrzu , dlatego należy dodać poprawkę :

gdzie : dpow - gęstość powietrza w danym miejscu
Przy pomiarze gęstości bardzo lotnych cieczy dochodzi poprawka na wyporność cieczy w parze :

gdzie :
![]()
![]()
ppar - prężność pary nasyconej w temperaturze T
*Wagi Mohra :
Inną metodą pomiaru gęstości opartą na prawie Archimedesa jest waga Mohra - Westphala.
Nurnik wagi Mohra , zawierający zbiornik rtęci z termometrem powieszony na platynowej nici posiada zwykle ściśle określoną objętość , na przykład 5,00ml . Jeżeli waga ma możliwości równoważenia nurnika w powietrzu , to gęstość obliczamy :

gdzie : Wp , W0 - wagi nurnika par i cieczy
Vn - objętość nurnika
Gęstość nici zanurzenia w cieczy wzorcowej i badanej musi być taka sama.
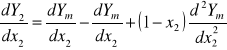
*Dla mieszanin ciekłych w całym zakresie składników ( wyrażonych w ułamkach molowych ) można dla wyznaczenia cząstkowych objętości molowych zastosować metodę graficzną :
![]()
oraz ![]()
wykazują sposób graficznego znajdowania wielkości cząstkowych molowych. Najpierw odkładamy Ym jako funkcję ułamka molowego x2 , styczna w danym punkcie odcina x1=0 ; x2=1 wielkości równe Y1,Y2 dla danego układu. Kiedy zróżniczkujemy oba wzory względem x2 otrzymujemy :


czyli :

Z ostatniego wzoru wynika , że pochodne ![]()
i ![]()
mają zawsze przeciwne znaki , więc gdy jedna z funkcji Y1(x2) , Y2(x2) jest rosnąca - wówczas druga jest malejąca , a ekstrema obu funkcji przypadają w tym samym składzie , jedno minimum i jedno maksimum.
Rys. Graficzne wyznaczanie cząstkowych objętości molowych.
2.Literatura:
Praca zbiorowa ; Chemia Fizyczna ,PWN Warszawa 1990
Pigoń K., Ruziewicz Z. ; Chemia Fizyczna ,PWN Warszawa 1986
Kisza A. ; Ćwiczenia laboratoryjne z chemii fizycznej ,WUW Wrocław 1995
3.Wykaz substancji chemicznych stosowanych w zadaniu :
*alkohol etylowy 96%
4.Oświadczenie:
Oświadczam , że zapoznałem się z kartami charakterystyk w/w substancji i znane mi są właściwości tych substancji , sposoby bezpiecznego postępowania z nimi oraz zasady udzielania pierwszej pomocy w nagłych wypadkach.
-------------------------------------
5.Cel wykonania ćwiczenia:
Celem wykonywanego ćwiczenia jest wyznaczenie cząstkowych objętości molowych składników w układzie H2O-C2H5OH.
![]()
![]()