dr Tadeusz Janaszak (Wrocław tel. 601 566200) UE listy Odcinek 2 (51); Zaczynamy cykl odcinków poświęconych listom zadań dla WYDZIAŁU ZARZĄDZANIA I FINANSÓW; KIERUNEK FINANSE I RACHUNKOWOŚĆ. Podobne zadania przerabia się na prawie wszystkich zajęciach zarówno w Uniwersytecie Ekonomicznym jak i szkołach prywatnych, jak np. WYŻSZA SZKOŁA BANKOWA, ponadto UNIWRSYTET PRZYRODNICZY, POLITECHNIKA i inne uczelnie, gdzie matematyka jest przedmiotem pomocniczym. Omawiana lista pochodzi z roku akademickiego 2010/2011. Drogą mailową można nadsyłać pytania, zadania, problemy. Zapraszam na konsultacje, najlepiej zadzwonić tel. 601 566200.
LISTA 1
ZADANIE 2
ALGEBRA LINIOWA
W odcinku poruszamy temat podprzestrzeni liniowej. Nie każdy podzbiór przestrzeni liniowej jest podprzestrzenią wyjściowej przestrzeni wektorowej. Zadanie dotyczy konkretnie określonych podzbiorów przestrzeni liniowej i sprawdzeniu, czy są one podprzestrzeniami. Rozwiązania ilustrujemy rysunkami. Odcinek mogą czytać również wszyscy, którzy chcą poznać podstawy geometrii analitycznej.
Zadanie 2. Które z następujących zbiorów są podprzestrzeniami liniowymi odpowiednich przestrzeni.
Polecenie a) ![]()
.
Zbiór A zawarty w przestrzeni liniowej, w tym wypadku przestrzeni trójwymiarowej ![]()
, nazywamy podprzestrzenią, jeśli jest zamknięty ze względu na działanie dodawania wektorów i mnożenia wektora przez liczbę; tzn.
jeśli ![]()
i ![]()
, to ![]()
;
jeśli ![]()
i ![]()
, to ![]()
.
Niech ![]()
i ![]()
; przy czym
![]()
oraz ![]()
;
wówczas mamy
![]()
;
gdy zaś ![]()
, wówczas
![]()
.
Jeśli ![]()
wówczas ![]()
, podobnie, gdy ![]()
, to ![]()
; z tego wynika, że ![]()
, a więc ![]()
Jeśli teraz ![]()
i ![]()
, czyli ![]()
, wówczas ![]()
, skąd wynika, że ![]()
; tak więc pokazaliśmy, że zbiór A jest podprzestrzenią, gdyż jest zamknięty ze względu na oba działania.
Tego wywodu od studenta będzie oczekiwał prowadzący ćwiczenia; my zrobimy nieco więcej, gdyż odcinki mają podnosić kulturę matematyczną w Polsce, a nie tylko służyć utylitarnemu celowi otrzymania przez studenta ukochanej trójki.
Zbiór A możemy narysować jako płaszczyznę przechodzącą przez początek układu współrzędnych, rozpiętą na wektorach ![]()
oraz ![]()
, bowiem zachodzi równość:

, gdzie ![]()
Zauważmy, że niebieski wektor ![]()
jest prostopadły do żółtej płaszczyzny; to nie jest przypadek.
Podprzestrzeń A jest generowana przez wektory ![]()
oraz ![]()
, co w algebrze liniowej zapisuje się w sposób następujący: ![]()
Polecenie b) ![]()
.
Niech ![]()
, to znaczy ![]()
oraz ![]()
; wektor ![]()
jest równy ![]()
; aby pokazać, że ![]()
trzeba udowodnić równość ![]()
; ta równość jest oczywista, gdyż ![]()
.
Sprawdzamy drugi warunek: niech ![]()
i ![]()
wektor ![]()
ma współrzędne
![]()
; trzeba pokazać, że ![]()
; to jest oczywiste, gdyż ![]()
. Tyle wystarczy na ćwiczenia.
Warunek ![]()
możemy potraktować jako układ równań z trzema niewiadomymi: ![]()
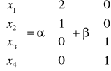
. Zapiszemy jego rozwiązanie z parametrami zewnętrznymi:

, gdzie ![]()
,
a oto rozwiązanie (7) w postaci wektorowej:

, gdzie ![]()
;
tak więc podprzestrzeń A jest rozpięta na wektorach: ![]()
oraz ![]()
; przypatrzmy się uważnie warunkowi ![]()
jest to równanie liniowe postaci ![]()
. Zapiszmy wektor ![]()
; jest to wektor prostopadły do płaszczyzny A rozpiętej na wektorach ![]()
i ![]()
czyli tej, która jest treścią zadania. Narysujemy płaszczyznę A, wektory ją rozpinające i wektor prostopadły; prostopadłość wektorów łatwo sprawdzić posługując się iloczynem skalarnym:
![]()
![]()
.
Na rysunku 2 symbolem O zaznaczamy początek układu współrzędnych, aby zachować czytelność rysunku pominiemy osie układu współrzędnych:
Uwaga. Podprzestrzeń jest płaszczyzna przechodzącą przez początek układu współrzędnych.
Podobnie, jak w poprzednim przykładzie możemy zapisać: ![]()
Polecenie c) ![]()
Sprawdzimy warunki charakterystyczne dla podprzestrzeni: niech ![]()
, stąd ![]()
oraz ![]()
; trzeba pokazać, że
![]()
warunek (11) jest spełniony, bowiem zachodzi równość
![]()
.
Drugi z warunków: niech ![]()
i ![]()
, wektor ![]()
ma współrzędne
![]()
; trzeba pokazać, że
![]()
;
warunek (12) jest spełniony ze względu na ciąg równości ![]()
.
Na ćwiczenia powinno wystarczyć, sprawdziliśmy bowiem, że warunki określające podprzestrzeń są spełnione.
Podobnie, jak poprzednio zapiszmy rozwiązanie układu równań liniowych: jedno równanie, trzy niewiadome ![]()
; możemy je przedstawić:
![]()
; ![]()
zapiszemy rozwiązanie z parametrami zewnętrznymi:

; ![]()
teraz przejdziemy na wektorową formę zapisu

;
![]()
Z wzoru (15) wyciągamy wniosek, że podprzestrzeń A jest płaszczyzną przechodzącą przez
początek układu, rozpiętą na wektorach ![]()
oraz ![]()
; zauważmy, że wektor ![]()
odczytany z równania ![]()
jest prostopadły do obu wektorów rozpinających płaszczyznę A; przekonujemy się o tym obliczając iloczyny skalarne:
![]()
;
![]()
.
Na rys. 3 początek układu zaznaczony jest, podobnie, jak poprzednio, literą O; aby nie zaciemniać rysunku, zrezygnujemy z osi układu współrzędnych:
Żółta płaszczyzna jest podprzestrzenią i jako taka przechodzi przez początek układu współrzędnych O. Zapiszmy jeszcze ![]()
Polecenie d) ![]()
.
Sprawdzamy warunek pierwszy; niech ![]()
, stąd
![]()
oraz ![]()
,
ponadto
![]()
oraz ![]()
.
Mamy równość ![]()
badamy, czy współrzędne wektora ![]()
spełniają warunki podane w poleceniu; dodając stronami obie równości (18) oraz równości (19) dostajemy dwa związki:
![]()
i
![]()
.
Wyniki (20) i (21) pokazują, że ![]()
.
Niech ![]()
i ![]()
; równość ![]()
mnożymy obustronnie przez α ;
dostajemy:
![]()
;
mnożąc z kolei stronami równość ![]()
otrzymujemy:
![]()
;
związki (22) i (23) dowodzą, że wektor ![]()
należy do zbioru A, a więc zbiór A jest podprzestrzenią. Wykonaliśmy polecenie potrzebne na ćwiczenia.
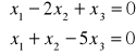
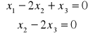
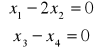
Zastanówmy się, jak wygląda podprzestrzeń A ? W tym celu napiszmy oba definiujące ją warunki; jako układ równań:

;
z rozważań przeprowadzonych w poprzednich przykładach możemy wywnioskować, że podprzestrzeń spełniająca warunek ![]()
jest płaszczyzną przechodzącą przez początek układu współrzędnych i podprzestrzeń spełniająca drugi warunek ![]()
także. Wyciągamy stąd wniosek, że poszukiwany przez nas zbiór A, to krawędź przecięcia obu płaszczyzn, jest to więc prosta przechodząca przez początek układu współrzędnych.
Na rys. 4 wspólną krawędź dwu płaszczyzn: żółtej i beżowej zaznaczono, jako czerwoną linię. Początek układu współrzędnych: O.
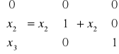
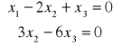
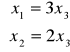
W dalszej kolejności wykonamy potrzebne obliczenia w celu znalezienia wektora ![]()
. Zespół warunków określających podprzestrzeń A przedstawimy w formie układu równań:

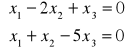
, czyli 
po wykonaniu działania zasygnalizowanego kolorem pomarańczowym dostajemy następującą postać warunków:

, czyli 
po podzieleniu drugiego równania przez trzy mamy:

, czyli 
wykonanie pomarańczowego planu doprowadzi nas do końcowego rezultatu:

, czyli 
;
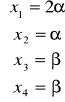
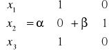
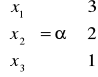
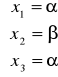
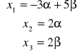
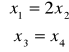
zapisujemy rozwiązanie w różnych postaciach:

, gdzie ![]()

, gdzie ![]()

, gdzie ![]()
Wektor ![]()
zamieszczony na rys. 4 jest równy ![]()
; wytycza on prostą A, która, jako podprzestrzeń przechodzi przez początek układu współrzędnych. Z użyciem symbolu lin można podprzestrzeń A zapisać w sposób następujący: ![]()
.
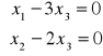
Polecenie e) ![]()
.
Tym razem ![]()
zespół warunków przedstawimy w formie jednorodnego układu równań liniowych:

, czyli 
;
znowu mamy do czynienia z jednorodnym układem równań liniowych, więc zbiór A będzie podprzestrzenią. Uważny Czytelnik zapewne zauważył, że podprzestrzenie są to po prostu zbiory rozwiązań układów jednorodnych.
Jeśli ![]()
, wówczas możemy zapisać warunki, które spełniają współrzędne tych wektorów:
![]()
oraz ![]()
;
![]()
oraz ![]()
.
Dodając stronami warunki we wzorach (33) i (34) otrzymujemy rezultaty:
![]()
i
![]()
;
tak więc współrzędne wektora ![]()
spełniają warunki określające zbiór A, czyli ![]()
.
Jeśli teraz ![]()
i ![]()
, wówczas równanie ![]()
mnożymy stronami przez α i dostajemy ![]()
, podobnie: ![]()
, a więc współrzędne wektora ![]()
spełniają podane warunki, czyli ![]()
. Zakończyliśmy dowód potrzebny na zajęcia.
Jeśli chcemy znaleźć bazę podprzestrzeni A, musimy zapisać rozwiązanie układu (32) :

, gdzie ![]()

, gdzie ![]()

,
gdzie ![]()
Podprzestrzeń A jest generowana przez wektory ![]()
i ![]()
, co można zapisać: ![]()
.
W pozostałych przykładach mamy zbiory, które nie są podprzestrzeniami liniowymi.
Polecenie f) ![]()
.
Zbiór A nie jest podprzestrzenią liniową, gdyż wektor zerowy: ![]()
nie należy do tego zbioru. W algebrze liniowej jest twierdzenie, które głosi, że wektor zerowy należy do każdej podprzestrzeni. Zbiór A jest tzw. przesunięciem podprzestrzeni liniowej; używa się też nazwy przestrzeń afinicza, lecz w tym miejscu nie będziemy o tym mówić.
Polecenie g) ![]()
. Zbiór A nie jest podprzestrzenią. Argumentacja taka sama, jak w poprzednim przykładzie, to również jest przestrzeń afiniczna.
Polecenie h) ![]()
. Ten zbiór nie jest ani podprzestrzenią, ani przesunięciem podprzestrzeni; wprawdzie wektor zerowy należy do A, lecz nie są spełnione inne warunki. Weźmy wektor ![]()
; jego współrzędne spełniają podany warunek, czyli ![]()
; niech dalej ![]()
; wektor ![]()
ma postać: ![]()
; obliczamy podany warunek:
![]()
.
W wzorze (40) lewa strona nie równa się prawej, a więc ![]()
, to wystarcza, by stwierdzić, że zbiór A nie jest podprzestrzenią.
Koniec odcinka.
Baza jest to liniowo niezależny zbiór wektorów generujących podprzestrzeń.
1
DEFINICJA PODPRZESTRZENI
DEFINICJE DZIAŁAŃ
x2
x3
x1
(1,0,0)
(0,1,0)
(0,0,1)
Rys. 1.
Podprzestrzeń z polecenie a),
czyli żółta płaszczyzna rozpięta na wektorach pomarańczowym i zielonym
(0,1,0)
(1,0,1)
(1,0,-1)
·
·
O
Rys. 2.
Podprzestrzeń z polecenia b),
czyli płaszczyzna rozpięta na wektorach pomarańczowym i zielonym; wektor niebieski prostopadły do płaszczyzny A
ZAPIS ROZWIĄZANIA Z DWOMA PARAMETRAMI WŁASNYMI
ZAPIS ROZWIĄZANIA Z DWOMA PARAMETRAMI ZEWNĘTRZNYMI
WEKTOROWYZAPIS ROZWIĄZANIA Z DWOMA PARAMETRAMI ZEWNĘTRZNYMI
·
·
0
(-3,2,0)
(5,0,2)
(2,3,-5)
Rys. 3.
Podprzestrzeń z polecenia c); rozpięta na wektorach (-3,2,0) oraz (5,0,2); prostopadła do wektora (2,3,-5)
·
A
A
A
·
Rys. 4.
Część wspólna dwu podprzestrzeni dwuwymiarowych jest podprzestrzenią jednowymiarową wytyczoną przez wektor ![]()
- analiza zjawiska bez obliczeń
A
O
k
→
(-1) · I + II
: 3
OK
OK
2 · II + I
OK
OK
ZAPIS ROZWIĄZANIA Z PARAMETREM WŁASNYM
ZAPIS ROZWIĄZANIA Z PARAMETREM ZEWNĘTRZNYM
WEKTOROWY ZAPIS ROZWIĄZANIA Z PARAMETREM ZEWNĘTRZNYM
ZAPIS ROZWIĄZANIA Z DWOMA PARAMETRAMI WŁASNYMI
ZAPIS ROZWIĄZANIA Z DWOMA PARAMETRAMI ZEWNĘTRZNYMI
WEKTOROWYZAPIS ROZWIĄZANIA Z DWOMA PARAMETRAMI ZEWNĘTRZNYMI