Artur Grudziński 11.10.2002
Łukasz Łużyński
Temat: Pomiar oporów elektrycznych metodą mostka Wheatstone`a.
Pomiar rezystancji właściwej przewodu oporowego metodą techniczną.
PODSTAWY TEORETYCZNE
Prawa rządzące przepływem prądu stałego
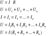
PRAWO OHMA
Napięcie panujące na zaciskach przewodnika jest proporcjonalne do natężenia prądu
Czyli:
![]()
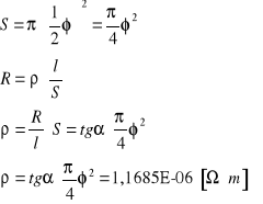
Współczynnik proporcjonalności R nazywamy oporem przewodnika. Opór przewodnika jest proporcjonalny do jego długości i odwrotnie proporcjonalny do przekroju poprzecznego, co wyraża się wzorem:
![]()
Współczynnik proporcjonalności ![]()
(wymiar![]()
) nazywa się oporem właściwym
I PRAWO KIRCHHOFFA
Suma algebraiczna natężeń prądów wpływających do węzła jest równa zeru. Czyli:
![]()
II PRAWO KIRCHHOFFA
W obwodzie zamkniętym suma sił elektromotorycznych![]()
jest równa sumie omowych spadków napięć ![]()
.
Treść drugiego prawa Kirchhoffa można wyrazić następującym wzorem:
![]()
![]()
2) Zasada łączenia rezystorów
a) szeregowo
b) równolegle
II. SCHEMATY ORAZ OPISY UKŁADÓW POMIAROWYCH
1) Mostek Wheatstone`a
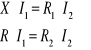
Mostkiem Wheatstone`a nazywamy układ elementów elektrycznych służących do pomiaru oporu elektrycznego. Obwód mostka składa się z dwóch równolegle połączonych gałęzi ACB i ADB. Punkty A i B połączone są ze źródłem prądu stałego
(poprzez opornik Rz), a punkty C i D z galwanometrem lub czułym mikroamperomierzem. Pomiędzy punkty A i B podłączono drut o długości 1 m. Drut pełni rolę potencjometru, wtedy punkt C odpowiada suwakowi potencjometru. Pomiar polega na takim dobraniu położenia punktu C tak, by przez galwanometr nie płynął prąd, wtedy mówimy - mostek jest zrównoważony. Przy zrównoważonym mostku, pomiędzy punktami C i D nie ma różnicy potencjałów (![]()
), a przez oporniki X i R płynie prąd o takim samym natężeniu I1. Również przez drut płynie prąd o takim samym natężeniu I1.
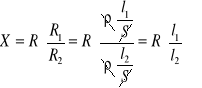
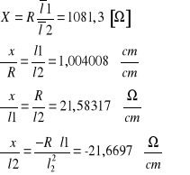
Wtedy zgodnie z prawem Kirchhoffa można napisać następujące związki:

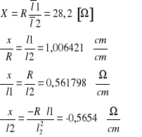
Dzieląc pierwsze równanie przez drugie otrzymamy:

2) Metoda techniczna
Metoda techniczna jest stosowana do pomiarów rezystancji nieliniowej (np. diody, żarówki, termistora, rezystora) oraz impedancji nieliniowej (np. cewki z rdzeniem ferromagnetycznym). Jest też stosowana do pomiarów obiektów liniowych.
Małą wartość rezystancji Rx, tzn. gdy ![]()
, mierzy się w układzie poprawnie mierzonego napięcia, w którym woltomierz wskazuje poprawnie spadek napięcia na mierzonej rezystancji Rx. Wartość rezystancji Rx oblicza się ze wzoru:

Dużą wartość rezystancji, tzn., gdy ![]()
, mierzy się w układzie poprawnie mierzonego prądu, w którym amperomierz poprawnie wskazuje prąd płynący przez mierzoną rezystancję Rx. Wartość rezystancji oblicza się ze wzoru:
![]()
Jeżeli w układzie poprawnie mierzonego napięcia rezystancja RV woltomierza jest, co najmniej 1000 razy większa niż mierzona rezystancja RX, tzn.![]()
, to w przemysłowych pomiarach rezystancję Rx można obliczyć ze wzoru uproszczonego:
![]()
Jeżeli w układzie poprawnie mierzonego prądu rezystancja RA amperomierza jest, co najmniej 1000 razy mniejsza niż mierzona rezystancja Rx, tzn. ![]()
, to w przemysłowych pomiarach rezystancję RX można obliczyć w przybliżeniu również ze wzoru:
![]()
Przebieg doświadczenia.
Wstępnie za pomocą śruby mikrometrycznej zmierzyliśmy w dziesięciu miejscach średnicę drutu oporowego. Następnie za pomocą ruchomego wspornika ustalaliśmy odpowiednie długości oporowego zakresie od 20 - 50 cm w odstępach dwu-centymetrowych, dokonując za każdym razem pomiaru napięcia i prądu w układach z dokładnie mierzonym prądem i dokładnie mierzonym napięciem. Otrzymane wyniki podstawiliśmy do wzorów roboczych uzyskując rezystancję danego odcinka drutu oporowegoIII. OBLICZENIA I WYZNACZANIE NIEPEWNOŚCI POMIARU
1) Mostek Wheatstone`a
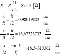
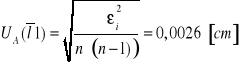
a) Rezystor X1
Lp. |
|
|
|
|
1 |
49,6 |
0,01 |
50,4 |
0,01 |
2 |
49,4 |
0,01 |
50,6 |
0,01 |
3 |
49,5 |
0 |
50,5 |
0 |
4 |
49,6 |
0,01 |
50,4 |
0,01 |
5 |
49,4 |
0,01 |
50,6 |
0,01 |
|
|
|
|
|
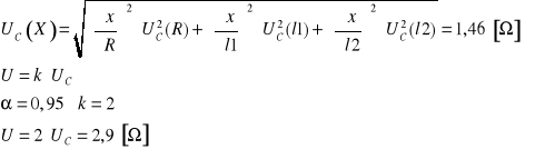
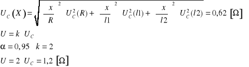
![]()
![]()


![]()
![]()
![]()
![]()
![]()
![]()


![]()
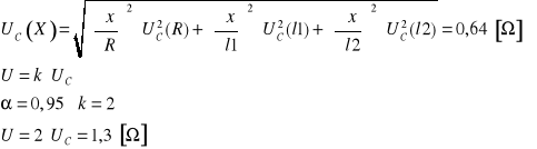
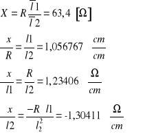
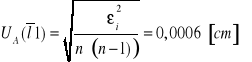
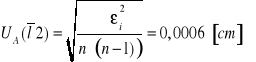
b) Rezystor X2
Lp. |
|
|
|
|
1 |
51,1 |
0,04 |
48,9 |
0,04 |
2 |
51,3 |
0 |
48,7 |
5,04871E-29 |
3 |
51,4 |
0,01 |
48,6 |
0,01 |
4 |
51,3 |
0 |
48,7 |
5,04871E-29 |
5 |
51,4 |
0,01 |
48,6 |
0,01 |
|
|
|
|
|
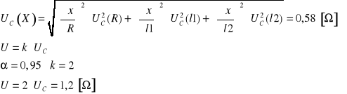
![]()
![]()


![]()
![]()
![]()
![]()
![]()
![]()


![]()
c) Rezystor X3
Lp. |
|
|
|
|
1 |
51,4 |
0,0004 |
48,6 |
0,0004 |
2 |
51,4 |
0,0004 |
48,6 |
0,0004 |
3 |
51,4 |
0,0004 |
48,6 |
0,0004 |
4 |
51,3 |
0,0064 |
48,7 |
0,0064 |
5 |
51,4 |
0,0004 |
48,6 |
0,0004 |
|
|
|
|
|
![]()
![]()


![]()
![]()
![]()
![]()
![]()
![]()


![]()
d) Rezystor X4
Lp. |
|
|
|
|
1 |
50,1 |
0,0016 |
49,9 |
0,0016 |
2 |
50,1 |
0,0016 |
49,9 |
0,0016 |
3 |
50,0 |
0,0036 |
50,0 |
0,0036 |
4 |
50,1 |
0,0016 |
49,9 |
0,0016 |
5 |
50,0 |
0,0036 |
50,0 |
0,0036 |
|
|
|
|
|
![]()
![]()


![]()
![]()
![]()
![]()
![]()
![]()


![]()
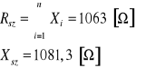
e) Rezystory połączone szeregowo Xszeregowy
Lp. |
|
|
|
|
1 |
50,1 |
0 |
49,9 |
0 |
2 |
50,0 |
0,01 |
50,0 |
0,01 |
3 |
50,2 |
0,01 |
49,8 |
0,01 |
4 |
50,0 |
0,01 |
50,0 |
0,01 |
5 |
50,2 |
0,01 |
49,8 |
0,01 |
|
|
|
|
|
![]()
![]()


![]()
![]()
![]()
![]()
![]()
![]()


![]()
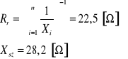
- porównanie rezystancji zmierzonej z rezystancją wyliczoną na podstawie wzoru:

f) Rezystory połączone równolegle Xrównoległy
Lp. |
|
|
|
|
1 |
50,2 |
0,0016 |
49,8 |
0,0016 |
2 |
50 |
0,0256 |
50 |
0,0256 |
3 |
50,3 |
0,0196 |
49,7 |
0,0196 |
4 |
50,1 |
0,0036 |
49,9 |
0,0036 |
5 |
50,2 |
0,0016 |
49,8 |
0,0016 |
|
|
|
|
|
![]()
![]()


![]()
![]()
![]()
![]()
![]()
![]()


![]()
- porównanie rezystancji zmierzonej z rezystancją wyliczoną na podstawie wzoru:

2) Metoda techniczna
a) średnica drutu
Lp. |
|
|
1 |
0,35 |
0,000025 |
2 |
0,34 |
2,5E-05 |
3 |
0,35 |
0,000025 |
4 |
0,34 |
2,5E-05 |
5 |
0,34 |
2,5E-05 |
6 |
0,34 |
2,5E-05 |
7 |
0,34 |
2,5E-05 |
8 |
0,34 |
2,5E-05 |
9 |
0,35 |
0,000025 |
10 |
0,36 |
0,000225 |
|
|
|
![]()
b) układ z poprawnie mierzonym napięciem
|
I (A) |
U (V) |
RX |
|
0,50 |
0,2 |
1,25 |
6,27 |
0,00000117 |
0,48 |
0,2 |
1,20 |
6,01 |
0,00000117 |
0,46 |
0,2 |
1,20 |
6,01 |
0,00000122 |
0,44 |
0,2 |
1,15 |
5,76 |
0,00000122 |
0,42 |
0,2 |
1,10 |
5,51 |
0,00000123 |
0,40 |
0,2 |
1,05 |
5,26 |
0,00000123 |
0,38 |
0,2 |
1,00 |
5,01 |
0,00000123 |
0,36 |
0,2 |
0,95 |
4,76 |
0,00000124 |
0,34 |
0,2 |
0,90 |
4,51 |
0,00000124 |
0,32 |
0,2 |
0,85 |
4,26 |
0,00000124 |
0,30 |
0,2 |
0,80 |
4,01 |
0,00000125 |
0,28 |
0,2 |
0,75 |
3,76 |
0,00000125 |
0,26 |
0,2 |
0,70 |
3,50 |
0,00000126 |
0,24 |
0,2 |
0,65 |
3,25 |
0,00000127 |
0,22 |
0,2 |
0,60 |
3,00 |
0,00000128 |
0,20 |
0,2 |
0,55 |
2,75 |
0,00000129 |
c) układ z poprawnie mierzonym prądem
|
I (A) |
U (V) |
RX |
|
0,50 |
0,2 |
1,35 |
6,60 |
0,00000123 |
0,48 |
0,2 |
1,30 |
6,35 |
0,00000124 |
0,46 |
0,2 |
1,25 |
6,10 |
0,00000124 |
0,44 |
0,2 |
1,20 |
5,85 |
0,00000124 |
0,42 |
0,2 |
1,15 |
5,60 |
0,00000125 |
0,40 |
0,2 |
1,10 |
5,35 |
0,00000125 |
0,38 |
0,2 |
1,05 |
5,10 |
0,00000125 |
0,36 |
0,2 |
1,00 |
4,85 |
0,00000126 |
0,34 |
0,2 |
0,95 |
4,60 |
0,00000126 |
0,32 |
0,2 |
0,90 |
4,35 |
0,00000127 |
0,30 |
0,2 |
0,85 |
4,10 |
0,00000128 |
0,28 |
0,2 |
0,80 |
3,85 |
0,00000129 |
0,26 |
0,2 |
0,75 |
3,60 |
0,00000129 |
0,24 |
0,2 |
0,70 |
3,35 |
0,00000130 |
0,22 |
0,2 |
0,65 |
3,10 |
0,00000132 |
0,20 |
0,2 |
0,60 |
2,85 |
0,00000133 |
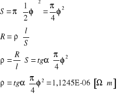
IV. WYKRESY ZALEŻNOŚCI WYLICZONYCH REZYSTANCJI OD DŁUGOŚCI DRUTU OPOROWEGO I WYZNACZENIE NA ICH PODSTAWIE REZYSTANCJI WŁAŚCIWEJ.
WYZNACZANIE NIEPEWNOŚCI POMIARU
a) Poprawnie mierzone napięcie
Równanie linii regresyjnej ![]()
![]()

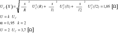
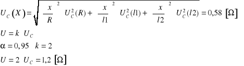
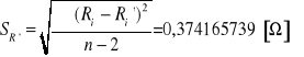
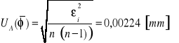
- Wyznaczanie niepewności pomiaru
Funkcja dopasowana ![]()
Wartość oczekiwana ![]()
Wartość zmierzona ![]()
Lp. |
|
|
|
|
|
1 |
0,50 |
6,27 |
5,87 |
0,154056 |
0,0225 |
2 |
0,48 |
6,01 |
5,62 |
0,154056 |
0,0169 |
3 |
0,46 |
6,01 |
5,62 |
0,154056 |
0,0121 |
4 |
0,44 |
5,76 |
5,37 |
0,154056 |
0,0081 |
5 |
0,42 |
5,51 |
5,12 |
0,154056 |
0,0049 |
6 |
0,40 |
5,26 |
4,87 |
0,154056 |
0,0025 |
7 |
0,38 |
5,01 |
4,62 |
0,154056 |
0,0009 |
8 |
0,36 |
4,76 |
4,37 |
0,154056 |
0,0001 |
9 |
0,34 |
4,51 |
4,12 |
0,154056 |
1E-04 |
10 |
0,32 |
4,26 |
3,86 |
0,154056 |
0,0009 |
11 |
0,30 |
4,01 |
3,61 |
0,154056 |
0,0025 |
12 |
0,28 |
3,76 |
3,36 |
0,154056 |
0,0049 |
13 |
0,26 |
3,50 |
3,11 |
0,154056 |
0,0081 |
14 |
0,24 |
3,25 |
2,86 |
0,154056 |
0,0121 |
15 |
0,22 |
3,00 |
2,61 |
0,154056 |
0,0169 |
16 |
0,20 |
2,75 |
2,36 |
0,154056 |
0,0225 |
|
|
|
|
|
|
![]()
![]()




![]()
b) Poprawnie mierzony prąd
Równanie linii regresyjnej ![]()
![]()

- Wyznaczanie niepewności pomiaru
Funkcja dopasowana ![]()
Wartość oczekiwana ![]()
Wartość zmierzona ![]()
Lp. |
|
|
|
|
|
1 |
0,50 |
6,60 |
6,25 |
0,1225 |
0,0225 |
2 |
0,48 |
6,35 |
6,00 |
0,1225 |
0,0169 |
3 |
0,46 |
6,10 |
5,75 |
0,1225 |
0,0121 |
4 |
0,44 |
5,85 |
5,50 |
0,1225 |
0,0081 |
5 |
0,42 |
5,60 |
5,25 |
0,1225 |
0,0049 |
6 |
0,40 |
5,35 |
5,00 |
0,1225 |
0,0025 |
7 |
0,38 |
5,10 |
4,75 |
0,1225 |
0,0009 |
8 |
0,36 |
4,85 |
4,50 |
0,1225 |
0,0001 |
9 |
0,34 |
4,60 |
4,25 |
0,1225 |
1E-04 |
10 |
0,32 |
4,35 |
4,00 |
0,1225 |
0,0009 |
11 |
0,30 |
4,10 |
3,75 |
0,1225 |
0,0025 |
12 |
0,28 |
3,85 |
3,50 |
0,1225 |
0,0049 |
13 |
0,26 |
3,60 |
3,25 |
0,1225 |
0,0081 |
14 |
0,24 |
3,35 |
3,00 |
0,1225 |
0,0121 |
15 |
0,22 |
3,10 |
2,75 |
0,1225 |
0,0169 |
16 |
0,20 |
2,85 |
2,50 |
0,1225 |
0,0225 |
|
|
|
|
|
|
![]()
![]()




![]()
V. WNIOSKI
- rezystancje stosowanych mierników znacząco wpływają na wynik pomiaru. Aby wprowadzany przez mierniki błąd był jak najmniejszy należy stosować woltomierze o bardzo dużej rezystancji by płynął przez nie jak najmniejszy prąd, a także amperomierze o jak najmniejszej rezystancji by odkładane na nich napięcie było znikomo małe.
- gdy badamy małą rezystancję najlepszym układem do jej pomiaru metodą techniczną jest w tym przypadku układ z poprawnie mierzonym napięciem, gdyż na rezystorze odkłada się bardzo małe napięcie.
- w przypadku, gdy badamy dużą rezystancję, wówczas do jej pomiaru należy zastosować układ z poprawnie mierzonym prądem, gdyż przez rezystor płynie bardzo mały prąd
- rezystancje połączonych szeregowo i równolegle oporników zmierzone przy pomocy mostka Wheatstone`a są bardzo zbliżone do rezystancji obliczonych za pomocą wzorów opartych o zasady łączenia szeregowego i równoległego oporników.
- mostek Wheatstone`a, przy pomocy którego przeprowadziliśmy doświadczenie nie jest najlepszym przyrządem do pomiaru rezystancji. W praktyce stosuje się elektroniczne mierniki opierające się o zasadę działania mostka Wheatstone`a.
- 18 -
G
X
R
l1
l2
R0
A
D
B
C
U1
U2
Un
Rn
R2
R1
![]()
I
U
I1
I2
In
Rn
R2
R1
R2
Rl1
I



![]()
![]()

![]()

IA
UX
A
IV
RV
RX
UV
V
IA
RR
E
I
RA
E
RR
UX
V
A
IA=IX
RV
RX
IV
UV