Grzegorz Piechota Toruń 2006.01.15
Ćwiczenie nr 16
„Wyznaczanie izotermy adsorpcji Freundlicha”
Niezależnie od rodzaju sieci krystalicznej na powierzchni ciała stałego panują siły wywołujące gromadzenie się cząsteczek z fazy gazowej lub roztworu .Mówimy wtedy o adsorpcji. Oddziaływania te mogą być dwojakiej natury , w związku z czym , jak również ze względu na makroskopowy obraz adsorpcji , wyróżnić możemy dwa jej rodzaje : adsorpcje fizyczną i adsorpcje chemiczną ( chemisorpcje). .Pierwsza uwarunkowana jest oddziaływaniami niespecyficznymi , typu van der Waalsa ; występuje zatem na powierzchni wszystkich ciał stałych i wobec najróżnorodniejszych substancji .Szybkość tego procesu jest ograniczona głównie szybkością dyfuzji adsorbatu ku powierzchni , a ciepło adsorpcji jest niewielkie. Ponieważ adsorpcja jest procesem egzotermicznym ze wzrostem temperatury następuje proces odwrotny -desorpcja . Inaczej jest w przypadku chemisorpcji . Oddziaływania między cząsteczkami adsorbatu a podłożem ma charakter ulegających wysyceniu oddziaływań chemicznych . Znaczna modyfikacja chmury elektronowej doprowadza niekiedy do trwałego przeniesienia elektronu między adsorbatem a adsorbentem i powstania wiązania chemicznego . Desorbując substancję , która uległa chemisorpcji można czasami zauważyć , że część z niej uległa na adsorbencie przemianie chemicznej (np. tlen zaadsorbowany na węglu aktywnym desorbuje się bardzo trudno , a gaz powstający w tym procesie zawiera znaczną ilość CO i CO2).
Chemisorpcja jest procesem zależnym od temperatury według równania Arrheniusa :![]()
r = k(T)f(c)= Ae-E/RTf(c) , gdzie r jest szybkością adsorpcji . k(T) stałą szybkości , A wielkością w niewielkim stopniu zależną od temperatury , E - energią aktywacji adsorpcji , f (c) - funkcją stężenia substancji adsorbowanej
Ze względu na fakt , że siły wiązań chemicznych decydujące o chemisorpcji ulegają wysyceniu , na powierzchni adsorbentu może ulec chemisorpcji maksymalnie taka ilość adsorbatu , jaka wystarcza do pokrycia jej warstwą monomolekularną .
Ilościowe ujęcie procesu jest zagadnieniem trudnym , najprostszym i najpopularniejszym modelem tego zjawiska jest ujęcie zaproponowane przez Langumira . Jego model zakłada , że na powierzchni adsorbentu znajduje się ustalona liczba miejsc dla adsorbowanej substancji i każde takie miejsce może być obsadzone przez jedną cząsteczkę . W przypadku adsorpcji fizycznej model jest równoważny założeniu , że może tworzyć się tylko monomolekularna warstwa adsorbatu . Ciepło adsorpcji przypadające na jedną cząsteczkę powinno być niezależne od stopnia obsadzenia wolnych miejsc . Przyjmując takie założenia można sformułować wyrażenie określające równowagę adsorpcji .W równowadze termodynamicznej szybkość adsorpcji Vads równa jest szybkości desorpcji Vdes . Szybkość adsorpcji powinna być proporcjonalna do ciśnienia ( ze stanu gazowego ) lub do stężenia ( ze stanu ciekłego ) oraz od ułamka miejsc niezajętych na absorbencie :
Vads = kap(1-Θ) , gdzie Θ- ułamek miejsc zajętych , szybkość desorpcji powinna być proporcjonalna do Θ
Vdes=kdΘ , przyrównując obydwa równania otrzymujemy kd = kap(1-Θ) , i ostatecznie :
![]()
=![]()
, gdzie b = ka/kb , ponieważ ![]()
, gdzie n, nm to odpowiednio liczba moli substancji zaadsorbowanej przez daną masę i liczba moli substancji przy której następuje
obsadzenie wszystkich centrów możemy zapisać :

![]()
[ mol]
lub oznaczając przez a liczbę moli substancji zaadsorbowanej przez jednostkową masę adsorbentu ( a=n/m) ,i odpowiednio am= nm/m ( m masa adsorbentu ) otrzymujemy : 
[ mol *kg -1 ] izoterma Langmuira . Stałe am i b w równaniu Langmuira można wyznaczyć z danych doświadczalnych , przekształcając powyższe równanie do postaci : 
i kreśląc zależność 1/a =f(1/p) otrzymamy linię prostą o nachyleniu 1/(amb) przecinającą oś rzędnych w punkcie 1/am. Znając am można obliczyć liczbę centrów adsorpcji na powierzchni 1 g adsorbentu .
W przypadku adsorpcji substancji z roztworów stosuje się równanie Freundlicha ![]()
, gdzie w oznacza liczbę moli lub masę substancji zaadsorbowanej na gram adsorbenta , c stężenie substancji adsorbowanej w równowadze , k i n , stałe które wyznacza się eksperymentalnie .
Stałe k i n oblicza się metodą najmniejszych kwadratów wykorzystując logarytmiczną postać równania :
log (w) = log(k)+(1/n)log(c) , gdzie w = x/m , m masa adsorbentu[g] , x liczba gramów adsorbatu [g].
Różnice w zdolności adsorpcyjnej absorbentu względem różnych substancji wykorzystuje się do ich rozdzielania - chromatografia adsorpcyjna.
Przez kolumnę wypełnioną adsorbentem(faza stała ) przepuszcza się roztwór rozdzielanych związków w odpowiednim rozpuszczalniku ( faza ruchoma ) . Najsilniej adsorbowane składniki roztworu osadzają się u szczytu kolumny , słabiej , niżej tworząc jeśli są barwne wyraźne pierścienie `'chromatogram''. Stopień rozdziału można zwiększyć przepuszczając przez kolumnę odpowiednio dobrany rozpuszczalnik - eluent.
Współcześnie istniejące odmiany chromatografii różnią się doborem fazy stacjonarnej ( bibułowa , cienkowarstwowa ) albo ruchomej ( gazowa , cieczowa)
Izoterma Freundlicha ma następującą postać:
Po logarytmowaniu równanie Freundlicha przybiera postać następującą:
![]()
Jeżeli dane doświadczalne spełniają równanie Freundlicha, to graficznym obrazem zależności ![]()
jest linia prosta:
Z powyższego wykresu można wyznaczyć wartości k i n. Jak widać na wykresie współczynnik kierunkowy prostej równa się 1/n, a punkt przecięcia prostej z osią rzędnych następuje przy wartości logk.
2. Literatura:
Encyklopedia PWN, Warszawa 2004
Encyklopedia PWN, Warszawa 2002
Ceynowa J., Litowski M., Nowakowski R., Ostrowska-Czubenko J., ,,Podręcznik do ćwiczeń laboratoryjnych chemii fizycznej'', wydawnictwo UMK Toruń 1994
Pigoń K , Ruziewicz Z „ Chemia fizyczna `' , PWN W-wa 1986 , str . 323-331
Sobczyk L , Kisza A , Gatner K , Koll A „ Eksperymentalna chemia fizyczna `' PWN W-wa 1982 str 489-499
Wykaz substancji używanych w ćwiczeniu :
0,5 molowy roztwór kwasu octowego
0,1 molowy wodorotlenek sodu
węgiel aktywny
Powyższe substancje w podanych stężeniach nie są uważane za substancje niebezpieczne mogące powodować poważne obrażenia , oraz utratę zdrowia .
Cel wykonania ćwiczenia :
Celem wykonania ćwiczenia jest wyznaczenie izotermy adsorpcji Freundlicha dla układu : węgiel aktywny - kwas octowy , ściślej stałych n i k występujących w równaniu izotermy ![]()
i wartości adsorpcji dla poszczególnych stężeń kwasu octowego .
VI Opis wykonania ćwiczenia :
Z roztworu kwasu octowego 0,5 M sporządzono pięć roztworów o następujących stężeniach :
0,25 M
0,125 M
0,065 M
0,035 M
0,0175 M
W celu ustalenia dokładnego miana miareczkowano otrzymane roztwory roztworem NaOH o stężeniu 0,1085M .
Do odważonych ( ok. 1 g ) porcji węgla aktywnego dodano przygotowane uprzednio roztwory i wytrząsano przez 30 minut.
Ustalono miano roztworów powstałych po adsorpcji przez miareczkowanie NaOH o stężeniu jw.
VII Obliczenia :
Masa poszczególnych naważek węgla aktywnego :
m1= 1,0138g
m2= 1,0047 g CNaOH= 0,1085 M
m3= 1,0085 g
m4= 1,0085 g
m5= 1,0221 g
Tabela nr 1
Wyniki miareczkowania przed adsorpcją:
objętość titranta |
Roztwór |
||||
|
1 |
2 |
3 |
4 |
5 |
V1 |
10,40 |
5,30 |
5,40 |
3,10 |
1,50 |
V2 |
10,70 |
5,30 |
5,60 |
3,10 |
1,50 |
V3 |
10,40 |
5,30 |
5,40 |
3,10 |
1,50 |
Vśr |
10,50 |
5,30 |
5,47 |
3,10 |
1,50 |
Tabela nr 2
Wyniki miareczkowania po adsorpcji:
objętość titranta |
Roztwór |
||||
|
1 |
2 |
3 |
4 |
5 |
V1 |
8,75 |
4,10 |
3,80 |
1,80 |
0,75 |
V2 |
8,75 |
4,10 |
3,80 |
1,80 |
0,75 |
V3 |
8,75 |
4,10 |
3,80 |
1,80 |
0,75 |
Vśr |
8,75 |
4,10 |
3,80 |
1,80 |
0,75 |
Stężenia kwasu octowego obliczono w następujący sposób :
Jeżeli w liczbie ml titranta zużytego na zmiareczkowanie kwasu mamy nNaOH =CNaOHVi,NaOH moli zasady i nNaOH moli zasady równa się nkw to stężenie kwasu równa się Ckw=nkw/ Vi,kw
gdzie: Vi.NaOH to objętość kwasu zużyta na zmiareczkowanie i-tej próbki
Vi,kw to objętość próbki kwasu 0,005 dm3 dla pierwszej i drugiej próbki , 0,010 dm3 dla próbek 3-5
nNaOH liczba moli NaOH zużyta w poszczególnych miareczkowaniach zawarta w Vi,NaOH
( wyniki w tabeli nr 3 )
Zgodnie z zależnością :

gdzie : x-liczba gramów zaadsorbowanego kwasu
m-masa adsorbentu ( węgla aktywnego ) [g]
V- objętość roztworu [ dm3] ( 0,04 dm3)
c0-stężenie kwasu początkowe ( przed adsorpcją ) [mol/dm3]
c-stężenie kwasu równowagowe ( po adsorpcji) [ mol/dm3]
M-masa molowa kwasu [g/mol]
obliczono adsorpcję kwasu octowego w przeliczeniu na jednostkę masy węgla
( wyniki w tabeli nr 3, gdzie a=x/m )
M![]()
= 60 g/mol
Tabela nr 3
Wyniki pomiarów i obliczeń:
nr roztworu |
stężenie kwasu [mol/dm3] |
masa węgla aktywnego [g] |
adośw [g/g] |
log adośw |
log crówn |
|
|
c0 |
crówn |
|
|
|
|
1 |
0,2459 |
0,1897 |
1,0001 |
0,1350 |
-0,8697 |
-0,7219 |
2 |
0,1180 |
0,0892 |
1,0006 |
0,0691 |
-1,1603 |
-1,0496 |
3 |
0,0625 |
0,0330 |
1,0003 |
0,0708 |
-1,1497 |
-1,4815 |
4 |
0,0339 |
0,0112 |
0,9999 |
0,0545 |
-1,2633 |
-1,9508 |
5 |
0,0185 |
0,0020 |
1,0002 |
0,0396 |
-1,4020 |
-2,6990 |
ateotet [g/g] |
|
0,1071 |
0,0899 |
0,0714 |
0,0556 |
0,0373 |
Współczynnik korelacji prostoliniowej : 0,9187
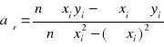
Parametry prostej log(a)=f(log c) obliczono metodą regresji zwyczajnej według następujących
wzorów :
x = log c
y = log a

, ![]()
, gdzie aśr, bśr średnie współczynniki regresji

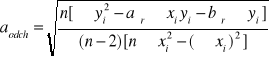
, ![]()
, gdzie aodch., bodch odchylenia standardowe współczynników regresji .
Odchylenie stałych n i k w równaniu izotermy Freundlicha obliczono metodą różniczki zupełnej :
![]()
, ![]()
,![]()
, ![]()
, gdzie Δ - oznacza odchylenie standardowe zmiennej .
Wzory potrzebne do obliczeń są podane również w części teoretycznej pracy.
|
|
|
|
|
przedziały ufności |
|
|
|
|
|
|
log(k)= |
-0,8034 |
|
k= |
0,1572 |
0,0345 |
1/n= |
0,2313 |
|
n= |
4,3232 |
1,1308 |
|
|
|
|
|
|
|
|
|
|
|
|
Wsp. Korel. Prostolin.= |
0,9187 |
|
|
|
|
Średnia |
0,1592 |
Błąd standardowy |
0,0124 |
Mediana |
0,1559 |
Odchylenie standardowe |
0,0278 |
Wariancja próbki |
0,0008 |
Kurtoza |
1,4086 |
Skośność |
0,0713 |
Zakres |
0,0774 |
Minimum |
0,1209 |
Maksimum |
0,1983 |
Suma |
0,7961 |
Licznik |
5,0000 |
Największy(1) |
0,1983 |
Najmniejszy(1) |
0,1209 |
Poziom ufności(95,0%) |
0,0345 |
Wnioski :
Uzyskane wyniki potwierdzają przydatność równania Freundlicha do opisu adsorpcji z roztworu , znalezione wartości współczynników izotermy Langmuira leżą w przedziale typowym dla procesów na aktywnym węglu.
Adsorpcja rośnie wraz ze wzrostem stężenia adsorbatu , co wynika z załączonych wykresów , nie mniej krzywa powstała z zależności adośw od stężenia ma kształt bardziej „książkowy” , niż zależność wykreślona przez uwzględnienie stałych izotermy .
Wyniki nie są dokładne w 100% gdyż moim błędem podczas wykonywanie ćwiczenia było nie zważenie pustego krokodylka na wadze analitycznej. Ćwiczenie wykonywałem sam.
C
![]()
logc
tgα
tgα = 1/n
logk
log![]()