Magdalena Brzyska
nr albumu: 162854
wydział: CHEMICZNY
kierunek: TECHNOLOGIA CHEMICZNA
rok studiów: I
Sprawozdanie.
Ćwiczenie nr 6.
Okresowe sygnały elektryczne, parametry amplitudowe.
Cel ćwiczenia:
Pomiar napięć sygnału bez detekcji oraz sygnału wyprostowanego za pomocą multimetru cyfrowego. Obserwacja sygnału na ekranie oscyloskopu, analiza zmian okresu i amplitudy sygnału.
Schemat układu pomiarowego.
Lista i opis przyrządów.
oscyloskop elektroniczny - HM 303-4 (30 HZ)
generator funkcyjny typu KZ 1404A, 0,05 Hz ÷1M Hz
woltomierz cyfrowy napięcia stałego i zmiennego typu Metex 3860 D
makieta dydaktyczna MD-1
transformator zasilający 15-20V/0,5A/50Hz
trójnik BNC
kabel koncentryczny „wtyk BNC- wtyk BNC”
kabel „wtyk radiowy-wtyk radiowy
Omówienie pomiarów.
tabele pomiarów
kształt sygnału: sinusoida; częstotliwość 1 kHz; Ad=Au= 1 V; 1 dz - 0,5 V
parametr amplitudowy
detekcja sygnału |
Usk [V] |
Uśr [V] |
Uszczyt [V] |
Upp [V] |
Sygnał bez detekcji
|
Wartości napięć stałych zmierzonych multimetrem cyfrowym |
|||
|
0,709 |
0,002 |
1,023 |
2,025 |
|
Kształt sygnału obserwowany na ekranie oscyloskopu (kanał 2) |
|||
|
|
|
|
|
Sygnał wyprostowany Detekcja dwupołówkowa
|
Wartości napięć stałych zmierzonych multimetrem cyfrowym |
|||
|
0,708 |
0,637 |
1,023 |
2,025 |
|
Kształt sygnału obserwowany na ekranie oscyloskopu (kanał 2) |
|||
|
|
|
|
|
Sygnał wyprostowany Detekcja jednopołókowa Dodatnia połówka sygnału
|
Wartości napięć stałych zmierzonych multimetrem cyfrowym |
|||
|
0,504 |
0,319 |
1,023 |
2,025 |
|
Kształt sygnału obserwowany na ekranie oscyloskopu (kanał 2) |
|||
|
|
|
|
|
Sygnał wyprostowany Detekcja jednopołókowa Ujemna połówka sygnału
|
Wartości napięć stałych zmierzonych multimetrem cyfrowym |
|||
|
0,497 |
0,319 |
0,994 |
2,025 |
|
Kształt sygnału obserwowany na ekranie oscyloskopu (kanał 2) |
|||
|
|
|
|
|
kształt sygnału: prostokąt; częstotliwość 1 kHz; Ad=Au= 1 V; 1 dz - 0,5 V
parametr amplitudowy
detekcja sygnału |
Usk [V] |
Uśr [V] |
Uszczyt [V] |
Upp [V] |
Sygnał bez detekcji
|
Wartości napięć stałych zmierzonych multimetrem cyfrowym |
|||
|
0,988 |
0,002 |
1,347 |
2,110 |
|
Kształt sygnału obserwowany na ekranie oscyloskopu (kanał 2) |
|||
|
|
|
|
|
Sygnał wyprostowany Detekcja dwupołówkowa
|
Wartości napięć stałych zmierzonych multimetrem cyfrowym |
|||
|
0,987 |
0,949 |
1,347 |
2,110 |
|
Kształt sygnału obserwowany na ekranie oscyloskopu (kanał 2) |
|||
|
|
|
|
|
Sygnał wyprostowany Detekcja jednopołókowa Dodatnia połówka sygnału
|
Wartości napięć stałych zmierzonych multimetrem cyfrowym |
|||
|
0,815 |
0,475 |
1,347 |
2,111 |
|
Kształt sygnału obserwowany na ekranie oscyloskopu (kanał 2) |
|||
|
|
|
|
|
Sygnał wyprostowany Detekcja jednopołókowa Ujemna połówka sygnału
|
Wartości napięć stałych zmierzonych multimetrem cyfrowym |
|||
|
0,601 |
0,475 |
0,743 |
2,111 |
|
Kształt sygnału obserwowany na ekranie oscyloskopu (kanał 2) |
|||
|
|
|
|
|
kształt sygnału: trójkąt; częstotliwość 1 kHz; Ad=Au= 1 V; 1 dz - 0,5 V
parametr amplitudowy
detekcja sygnału |
Usk [V] |
Uśr [V] |
Uszczyt [V] |
Upp [V] |
Sygnał bez detekcji
|
Wartości napięć stałych zmierzonych multimetrem cyfrowym |
|||
|
0,576 |
0,002 |
0,976 |
1,876 |
|
Kształt sygnału obserwowany na ekranie oscyloskopu (kanał 2) |
|||
|
|
|
|
|
Sygnał wyprostowany Detekcja dwupołówkowa
|
Wartości napięć stałych zmierzonych multimetrem cyfrowym |
|||
|
0,575 |
0,503 |
0,975 |
1,876 |
|
Kształt sygnału obserwowany na ekranie oscyloskopu (kanał 2) |
|||
|
|
|
|
|
Sygnał wyprostowany Detekcja jednopołókowa Dodatnia połówka sygnału
|
Wartości napięć stałych zmierzonych multimetrem cyfrowym |
|||
|
0,399 |
0,253 |
0,972 |
1,876 |
|
Kształt sygnału obserwowany na ekranie oscyloskopu (kanał 2) |
|||
|
|
|
|
|
Sygnał wyprostowany Detekcja jednopołókowa Ujemna połówka sygnału
|
Wartości napięć stałych zmierzonych multimetrem cyfrowym |
|||
|
0,397 |
0,252 |
0,954 |
1,877 |
|
Kształt sygnału obserwowany na ekranie oscyloskopu (kanał 2) |
|||
|
|
|
|
|
tabele pomiarów dla obliczanych współczynników
Usk |
ΔUsk |
δUsk |
Uśr |
ΔUśr |
δUśr |
Uszczyt |
ΔUszczyt |
δUszczyt |
Upp |
ΔUpp |
δUpp |
K |
ΔK |
δK |
F |
ΔF |
δF |
|
[V] |
[V] |
|
[V] |
[V] |
|
[V] |
[V] |
|
[V] |
[V] |
|
|
|
|
|
|
|
|
Sinusoida |
||||||||||||||||||
0,709 |
0,0087 |
0,0122 |
0,002 |
0,0030 |
1,5080 |
1,023 |
0,0112 |
0,0109 |
2,025 |
0,0192 |
0,0095 |
354,500 |
538,9220 |
1,5202 |
1,443 |
0,0334 |
0,0232 |
sygnał bez detekcji |
0,708 |
0,0087 |
0,0122 |
0,637 |
0,0081 |
0,0127 |
1,023 |
0,0112 |
0,0109 |
2,025 |
0,0192 |
0,0095 |
1,111 |
0,0277 |
0,0249 |
1,445 |
0,0335 |
0,0232 |
prostowanie dwupołówkowe |
0,504 |
0,0070 |
0,0140 |
0,319 |
0,0056 |
0,0174 |
1,023 |
0,0112 |
0,0109 |
2,025 |
0,0192 |
0,0095 |
1,580 |
0,0495 |
0,0314 |
2,030 |
0,0505 |
0,0249 |
prostowanie jednopołówkowe (+) |
0,497 |
0,0070 |
0,0140 |
0,319 |
0,0056 |
0,0174 |
0,994 |
0,0110 |
0,0110 |
2,025 |
0,0192 |
0,0095 |
1,558 |
0,0490 |
0,0314 |
2,000 |
0,0501 |
0,0251 |
prostowanie jednopołówkowe (-) |
Prostokąt |
||||||||||||||||||
0,988 |
0,0109 |
0,0110 |
0,002 |
0,0030 |
1,5080 |
1,347 |
0,0138 |
0,0102 |
2,110 |
0,0199 |
0,0094 |
494,000 |
750,4040 |
1,5190 |
1,363 |
0,0290 |
0,0213 |
sygnał bez detekcji |
0,987 |
0,0109 |
0,0110 |
0,949 |
0,0106 |
0,0112 |
1,347 |
0,0138 |
0,0102 |
2,110 |
0,0199 |
0,0094 |
1,040 |
0,0231 |
0,0222 |
1,365 |
0,0290 |
0,0213 |
prostowanie dwupołówkowe |
0,815 |
0,0095 |
0,0117 |
0,475 |
0,0068 |
0,0143 |
1,347 |
0,0138 |
0,0102 |
2,111 |
0,0199 |
0,0094 |
1,716 |
0,0446 |
0,0260 |
1,653 |
0,0362 |
0,0219 |
prostowanie jednopołówkowe (+) |
0,601 |
0,0078 |
0,0130 |
0,475 |
0,0068 |
0,0143 |
0,743 |
0,0089 |
0,0120 |
2,111 |
0,0199 |
0,0094 |
1,265 |
0,0346 |
0,0273 |
1,236 |
0,0309 |
0,0250 |
prostowanie jednopołówkowe (-) |
Trójkąt |
||||||||||||||||||
0,576 |
0,0076 |
0,0132 |
0,002 |
0,0030 |
1,5080 |
0,976 |
0,0108 |
0,0111 |
1,876 |
0,0180 |
0,0096 |
288,000 |
438,1080 |
1,5212 |
1,694 |
0,0411 |
0,0243 |
sygnał bez detekcji |
0,575 |
0,0076 |
0,0132 |
0,503 |
0,0070 |
0,0140 |
0,975 |
0,0108 |
0,0111 |
1,876 |
0,0180 |
0,0096 |
1,143 |
0,0311 |
0,0272 |
1,696 |
0,0412 |
0,0243 |
prostowanie dwupołówkowe |
0,399 |
0,0062 |
0,0155 |
0,253 |
0,0050 |
0,0199 |
0,972 |
0,0108 |
0,0111 |
1,876 |
0,0180 |
0,0096 |
1,577 |
0,0558 |
0,0354 |
2,436 |
0,0648 |
0,0266 |
prostowanie jednopołówkowe (+) |
0,397 |
0,0062 |
0,0156 |
0,252 |
0,0050 |
0,0199 |
0,954 |
0,0106 |
0,0111 |
1,877 |
0,0180 |
0,0096 |
1,575 |
0,0559 |
0,0355 |
2,403 |
0,0642 |
0,0267 |
prostowanie jednopołówkowe (-) |
Usk - wartość zmierzonego napięcia skutecznego
Uśr - wartość zmierzonego napięcia średniego
Upp - wartość zmierzonego napięcia międzyszczytowego
Uszczyt - wartość zmierzonego napięcia maksymalnego
ΔUsk, ΔUśr, ΔUszczyt, ΔUpp - niepewności bezwzględne pomiaru poszczególnych napięć
δUskδUśr, δUszczyt, δUpp - niepewności względne pomiaru poszczególnych napięć
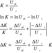
K - współczynnik kształtu
ΔK - niepewność bezwzględna współczynnika kształtu
δK - niepewność względna współczynnika kształtu
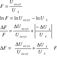
F - współczynnik szczytu
ΔF - niepewność bezwzględna współczynnika szczytu
δF - niepewność względna współczynnika szczytu
Użyte wzory i przykładowe obliczenia.
obliczenie niepewności bezwzględnej pomiaru napięcia
![]()
np. ![]()
obliczenie niepewności względnej pomiaru napięcia
![]()
np. ![]()
wyznaczanie współczynnika kształtu - K - według wzoru:
![]()
np. ![]()
wyznaczanie niepewności bezwzględnej współczynnika kształtu z wykorzystaniem różniczki logarytmicznej

np. 
wyznaczanie niepewności względnej współczynnika kształtu z wykorzystaniem różniczki logarytmicznej
![]()
np. ![]()
wyznaczanie współczynnika szczytu - F - według wzoru:

np. ![]()
wyznaczanie niepewności bezwzględnej współczynnika szczytu z wykorzystaniem różniczki logarytmicznej

np. 
wyznaczanie niepewności względnej współczynnika szczytu z wykorzystaniem różniczki logarytmicznej
![]()
np. ![]()
Dyskusja wyników.
W ćwiczeniu tym przyjęto, że niepewności pomiarów napięć wynikają jedynie z błędu, jaki posiada miernik cyfrowy. Zaniedbano błędy, jakie mogą być generowane przez makietę dydaktyczną.
Pomiary potwierdziły wartości liczbowe współczynników kształtu i szczytu zamieszczone w tabeli 1 w instrukcji do ćwiczenia. Można to ustalić stwierdzając, że wartości te znajdują się w granicach błędu uzyskanych wyników.
Badając obraz, jaki można było zobaczyć na ekranie oscyloskopu w trakcie ćwiczenia, można stwierdzić, że kształt sygnału dla napięcia międzyszczytowego we wszystkich przypadkach był taki sam, jak kształt badanego sygnału bez detekcji. Okres sygnałów wyjściowych wynosił 1 ms. Dla sygnału prostowanego dwupołówkowo dla sygnału sinusoidalnego i trójkątnego okres sygnału malał do 0,5 ms, natomiast dla sygnału prostokątnego pozostawał bez zmian.
Dla sygnału sinusoidalnego początkowa amplituda wynosiła 1V, dla sygnału prostowanego amplituda zmalała do 0,5 V dla każdego z prostowań.
Dla sygnału prostokątnego początkowa amplituda wynosiła 1V, dla sygnału prostowanego dwupołówkowo amplituda zmalała do 0,25 V, dla sygnału prostowanego jednopołówkowo amplituda wynosiła 0,625 V dla potaniej połówki sygnału i 0,375 dla ujemnej połówki sygnału.
Dla sygnału trójkątnego początkowa amplituda wynosiła 1V, dla sygnału prostowanego amplituda zmalała do 0,5 V dla każdego z prostowań.
ćwiczenie nr 6 - Magdalena Brzyska, nr albumu 162854, piątek - 1115
Trójnik BNC
Sieć 230 V/50Hz
Transformator zasilający
Makieta dydaktyczna
MD - 1
Przyrząd cyfrowy
„Metex”
Oscyloskop
Generator funkcyjny