Tomasz Pastor
WIiKŚ - budownictwo
Gr.8
Wyznaczanie współczynnika samoindukcji cewki i pojemności kondensatora.
Ćwiczenie 44
Wprowadzenie
Przepływając przez cewkę, zmieniający się w czasie prąd powoduje powstawanie zmiennego strumienia magnetycznego, który w uzwojeniu cewki będzie indukował SEM. Ten szczególny przypadek zjawiska indukcji elektromagnetycznej, kiedy to SEM indukcji powstaje w tej samej cewce, przez którą płynie zmieniający się prąd, nazywa się samoindukcją lub indukcją własną. Łatwo zauważyć, że podobnie jak w przypadku zjawiska indukcji wzajemnej, strumień odpowiedzialny za powstawanie SEM, równy zΦ, będzie proporcjonalny do prądu płynącego przez cewkę: zΦ=Li.
Zatem
![]()
Współczynnik proporcjonalności, zwany indukcyjnością własną cewki, zależy od tych samych czynników co indukcyjność wzajemna. Ponieważ już strumień Φ jest poprzez B- proporcjonalny do liczby zwojów, więc z wzoru zΦ=Li wynika, że indukcyjność własna będzie proporcjonalna do kwadratu liczby zwojów. Indukcyjność własną cewki wyraża się w układzie jednostek SI również w henrach 1H=1V*s*A-1.Zarówno indukcyjność wzajemna M, jak i indukcyjność własna L mogą zależeć od prądu; nie są one wtedy współczynnikami proporcjonalności . Sytuacja taka ma miejsce wtedy, gdy ośrodek otaczający cewki jest nieliniowy, co oznacza, że związek między wektorami B i H jest nieliniowy. Przykładem takich ośrodków są ferromagnetyki, które z racji dużej wartości przenikalności magnetycznej są często używane jako rdzenie cewek. Dla cewek z rdzeniami ferromagnetycznymi można tylko w przybliżeniu obliczać indukcyjności wzajemne i własne.
Kondensator w obwodzie prądu zmiennego.
Jeżeli podłączymy kondensator szeregowo połączony z żarówką do źródła prądu stałego, żarówka rozbłyśnie tylko na moment, bowiem w obwodzie płynie prąd jedynie do momentu naładowania kondensatora. Po naładowaniu okładek prąd nie płynie-w obwodzie prądu stałego kondensator stanowi praktycznie nieskończenie duży opór. Inaczej jest, jeśli jako źródła prądu użyjemy generatora prądu zmiennego. Wraz ze zmianą prądu w obwodzie zmienia się ładunek na okładkach kondensatora. Na danej okładce może on być dodatni albo ujemny, w zależności od kierunku przepływu prądu. Naprzemienne ładowanie i rozładowywanie się kondensatora w obwodzie umożliwia przepływ prądu, którego amplituda jest proporcjonalna do pojemności kondensatora C, gdyż zgodnie z definicją pojemności, C=Q/U , im większa pojemność tym większy ładunek Q może być zgromadzony na okładkach. Opór pojemnościowy Rc jest więc tym mniejszy im większa jest pojemność C. Gdy mamy źródło prądu sinusoidalnie zmiennego, Rc wyraża się wzorem;
![]()
Widzimy że opór pojemnościowy jest także odwrotnie proporcjonalny do częstości kołowej zmian prądu. Im większa wartość ω tym mniejszy ładunek zdąży zgromadzić się na kondensatorze podczas jego ładowania i tym mniejsze będzie napięcie przeciwstawiające się przepływowi prądu.
Jeśli w obwodzie prądu zmiennego występuje opór omowy R i kondensator o pojemności C, to całkowity opór, czyli impedancję ωobliczamy ze wzoru:
![]()
Wykonanie ćwiczenia
Wyznaczanie oporu omowego cewki.
W tym celu musimy utworzyć obwód, w którym podłączamy amperomierz do źródła prądu stałego kolejno cewkę, zamykamy obwód podłączając woltomierz do cewki. Podłączamy układ do źródła prądu stałego. Odczytujemy trzykrotnie wartości, zwiększając napięcia i obliczamy opór.
Wyznaczanie współczynnika samoindukcji cewki.
Pomiarów dokonujemy w tym samym układzie. Jednak zasilacz i mierniki uniwersalne przełączamy na pomiar prądu zmiennego. Odczytujemy napięcie i natężenie skuteczne dla trzech napięć wyjściowych zasilacza. Obliczamy dla tych pomiarów współczynniki samoindukcji, a ich średnia wartość jest szukaną wartością współczynnika samoindukcji L=0,236H.
Wyznaczanie impedancji i pojemności kondensatora. Układ pomiarowy jest podobny do poprzednich, jednak zamiast cewki do układu podłączamy kondensator. Podobnie dokonujemy pomiarów i wyliczamy impedancję, a następnie pojemność kondensatora C=25,8 [μF].
Obliczenia
Wyznaczanie oporu omowego cewki
.
Nr. Pomiaru i |
1 |
2 |
3 |
Napięcie Ui [V] |
2,56 |
10,35 |
19,42 |
Natężenie Ii [A] |
0,134 |
0,58 |
1,1 |
Opór Ri [Ω] |
19,10 |
17,85 |
17,66 |
Wyznaczanie impedancji i współczynnika samoindukcji cewki
Nr. Pomiaru i |
1 |
2 |
3 |
Napięcie Ui [V] |
2,40 |
8,80 |
10,75 |
Natężenie Ii [A] |
0,032 |
0,113 |
0,140 |
Impedancja Zi [Ω] |
75 |
77,88 |
76,77 |
Współ. Samoind. Li [H] |
0,23 |
0,.24 |
0,24 |
Wartość średnia współczynnika samoindukcji L [H] |
0,236 |
||
Wyznaczanie impedancji i pojemności kondensatora
Nr. Pomiaru i |
1 |
2 |
3 |
Napięcie Ui [V] |
0,22 |
5,45 |
11,96 |
Natężenie Ii [A] |
0,002 |
0,042 |
0,091 |
Impedancja Zi [Ω] |
110 |
131,95 |
130 |
Poj. Konden. Ci [μF] |
28,9 |
24,1 |
24,5 |
Wartość średnia pojemności kondensatora C [μF] |
25,8 |
||
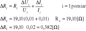
Rachunek błędu
Maksymalny błąd bezwzględny pomiarów R,Z,L i C obliczamy metodą różniczki zupełnej. Częstotliwość kołową ω traktujemy jako wielkość nie obarczoną błędem pomiaru.
Opór cewki Ri:
![]()


Impedancja Zi:

Współczynnik samoindukcji Li:

4. Pojemność kondensatora Ci:
