Michał Bieńkowski 06.06.2009r. Pt/N/9.15/3
SPRAWOZDANIE Pomiar z ćwiczenia „Pomiar podstawowych parametrów źródeł napięć i prądów stałych”
|
1. Cel ćwiczenia.
Zastosowanie woltomierzy i amperomierzy do pomiaru parametrów przykładowego obiektu (obiekty pomiaru -źródła napięć i prądów stałych).
Zwrócenie uwagi na konieczność zdefiniowania mierzonych parametrów obiektu i dopasowania do nich metod pomiaru.
Pokazanie podstawowych parametrów jakimi opisuje się źródła napięcia i prądu., metod ich pomiaru oraz sposobu obliczania istotnych parametrów.
2. Wykorzystane przyrządy.
amperomierz analogowy LM-3 - kl.=0,5%, oporność wew. ![]()
multimetr cyfrowy LG RMS 441B
opornica dekadowa DR4B-16, klasa: 0,05
źródło napięciowe
3. Proces pomiarowy.
Pomiary parametrów źródeł napięcia stałego
Układ do pomiaru charakterystyki napięciowo-prądowej
4. Tabela wyników pomiarów.
U wsk [V] |
I0 [mA] |
R [Ω] |
5,203 |
0 |
10888 |
5,192 |
1 |
4888 |
5,175 |
2 |
2588 |
5,153 |
3 |
1698 |
5,128 |
4 |
1258 |
5,102 |
5 |
998 |
5,023 |
6 |
829 |
4,776 |
7 |
779 |
4,501 |
8 |
549 |
4,128 |
9 |
449 |
3,842 |
10 |
379 |
Metoda I:
Biorę dwa skrajne punkty z wykresu i obliczam E oraz Rw.
![]()

![]()
![]()
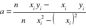
Metoda II:
E oraz Rw liczone metodą regresji liniowej:
Parametry prostej określonej równaniem y = ax + b można wyznaczyć przy użyciu wzorów:

![]()
gdzie:
xi, yi - wartości doświadczalne,
n - liczba wykonanych pomiarów.
![]()
|
E |
Rw |
Metoda I |
5,203 |
136,2 |
Metoda II |
5,472182 |
126,745 |
![]()
![]()
![]()
Wnioski:
Gdy przekroczy się maksymalną dopuszczalną wartość prądu pobieranego ze źródła to zmienia się
rezystancji RW. Dzieje się tak by zabezpieczyć zasilacz przed uszkodzeniem. Dokładność pomiarów E oraz Rw zależy od doboru warunków pomiarów.
2